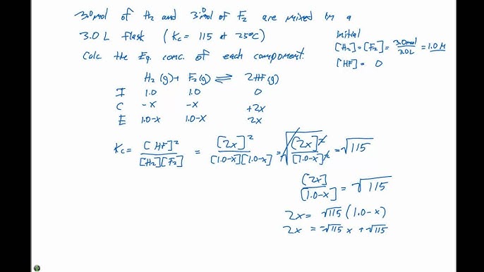
31+ Calculate Concentration At Equilibrium
Entropy Free Full Text How Flexible Is The Concept Of Local Thermodynamic Equilibrium

Some Special Topics Section 8 1 Solvation Section 8 2 Singlet Diradicals Section 8 3 A Note On Heavy Atoms And Transition Metals Springerlink
Equilibrium Constant From Concentration 2 Example Youtube
Calculating Equilibrium Concentrations From Initial Concentrations And Equilibrium Constant Chemistry Jove
Calculating Equilibrium Concentrations From Initial Concentrations And Equilibrium Constant Chemistry Jove
15 6 Calculating Equilibrium Concentrations Example 1 Youtube
How To Calculate Equilibrium Concentrations From Equilibrium Constant Chemistry Study Com
Calculate The Equilibrium Concentration Of The Reactants Cbse Class 12 Chemistry Learn Cbse Forum
15 6 Calculating Equilibrium Concentrations Example 1 Youtube
Equilibrium Constant Calculator
Calculating Equilibrium Concentrations From Initial Concentrations And Equilibrium Constant Chemistry Jove
Calculating Concentration At Equilibrium Youtube
Atoms Free Full Text Radiative Recombination And Photoionization Data For Tungsten Ions Electron Structure Of Ions In Plasmas
Modeling Asphaltene Phase Behavior In Crude Oil Systems Using The Perturbed Chain Form Of The Statistical Associating Fluid Theory Pc Saft Equation Of State Energy Fuels
Solved Tur Calculate The Equilibrium Concentration Of All Chegg Com
Solved Calculate The Equilibrium Concentration Of Po43 In A Chegg Com
Comparison Of The Spectrum Measured By The Upgraded X Ray Spectrometer Download Scientific Diagram
15 7 Finding Equilibrium Concentrations Chemistry Libretexts